湖南省高考物理类组合档分1分段统计表公布

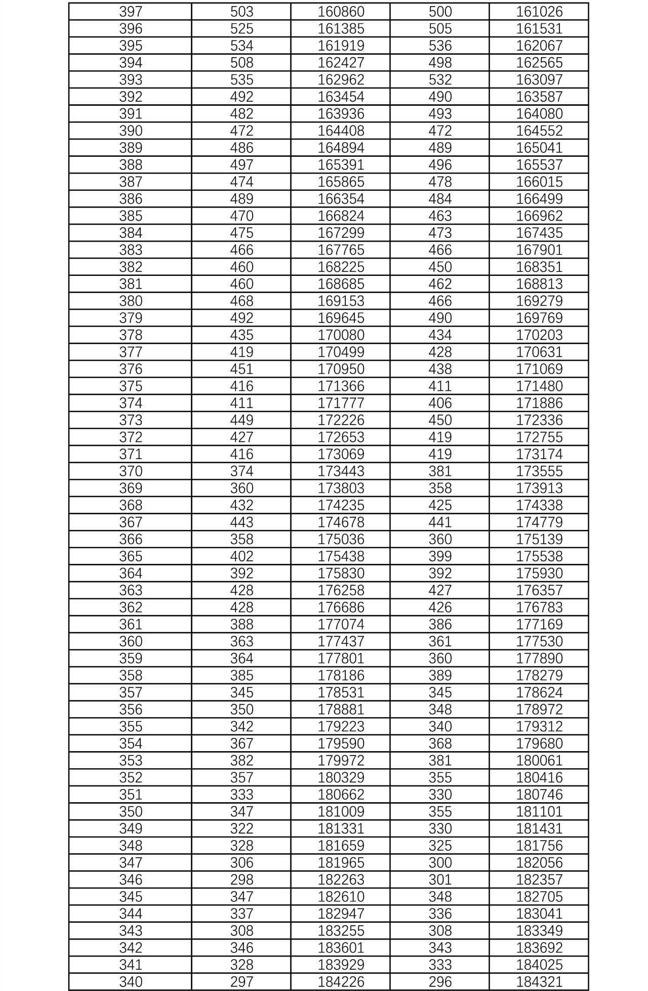
       长沙晚报掌上长沙6月24日讯(全媒体记者 舒文)刚刚,省教育考试院公布了高考档分1分段统计表,考生可参考自己的全省排名填报志愿。物理类档分1分段统计表如下:

1

2

3

4


5

6

7

8

9

10


【作者:舒文】 【编辑:李春璞】
关键词:高考
>>我要举报
晚报网友
登录后发表评论

长沙晚报数字报

热点新闻

回顶部 到底部